304am永利集团
2015年推荐优秀应届本科毕业生免试攻读研究生
综合成绩排名实施细则
一、推荐资格与工作办法
具体参见教务处2014年9月4日下发通知、文件:
(1)《304am永利集团关于做好2015年推荐优秀应届本科毕业生免试攻读研究生工作的通知》。
(2)《304am永利集团推荐优秀应届本科毕业生免试攻读硕士学位研究生工作管理办法》(华师教〔2014〕97号)。
(3)《教育部办公厅关于进一步完善推荐优秀应届本科毕业生免试攻读研究生工作办法的通知》(教学厅〔2014〕5号)。
二、指导思想
1、公开、公平和公正。
2、倡导学习和学术氛围,鼓励发表科研论文和参加学术科技竞赛。
3、量化方式体现综合排名。
三、个人综合得分计算办法
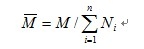
1、学习成绩(各专业分别计算)得分S1
A.第一步:计算成绩综合分

M:成绩综合分
Gi:第i门功课成绩
Ni:第 i门功课学分
n:该专业员工共同所修的所有课程
B.第二步:计算平均分

2、学术论文得分S2
|
|

